新闻详情

动力学基础理论概述

30
发表时间:2025-04-30 09:45作者:正脉科工


1. 动力学分析典型工程应用

  • 动力学典型工程应用

    ♢ 机械装备

    ♢ 土木建工

    ♢ 生物力学

    ♢ 自然现象

图1 典型振动问题

2.动力学分析概述与分类

  • 研究内容

    ♢ 已知载荷激励,计算结构响应(正问题)

    ♢ 已知结构响应,分析载荷激励(反问题)

  • 研究方法

    ♢ 理论解析法

    ♢ 实验法

    ♢ 计算仿真数值法

  • 动力学分类

    ♢ 详见图1

图2 动力学分类

隐式动力学与显式动力学区别
  • 隐式动力学

    ♢ 隐式算法采用平衡迭代法计算

    ♢ 每一计算步需要控制收敛性,计算量大,无累计误差

    ♢ 线性问题,若参数满足设定范围,为无条件稳定

    即时间步长不影响计算稳定性

    ♢ 非线性问题,采用NR逼近算法,高度非线性收敛困难

  • 显式动力学

    ♢ 显示算法采用差分法计算

    ♢ 不计算切线刚度,无须平衡迭代,计算快

    ♢ 时间步长必须小于材料波速

    ♢ 容易激发沙漏现象

图4   WorkBench显式动力学模块

静力学与动力学区别
  • 静力学

    ♢ 激励与结构响应不随时间改变或变化缓慢

    ♢ 计算不考虑惯性、阻尼效应

    ♢ 激励频率远离结构共振频率

  • 动力学

    ♢ 激励随时间改变

    ♢ 结构惯性、阻尼效应对结构响应起关键影响

    ♢ 激励频率接近结构共振频率

图3   WorkBench静力学与隐式动力学模块

3. 隐式动力学分析理论基础


动力学基本控制方程
  • [M]{u ̈}+[C]{u ̇}+[K]{u}={f(t)}   (3-1)

    ♢ [M]=结构质量矩阵

    ♢ [C]=结构阻尼矩阵

    ♢ [K]=结构刚度矩阵

    ♢ {u}=节点位移向量

    ♢ {u ̇}=节点速度向量

    ♢ {u ̈}=节点加速度向量

    ♢ {f(t)}=结构载荷向量

NewMark积分算法


t~∆t时间区域内,NewMark采用下列迭代假设


NewMark算法求解
  • 初始计算

    ♢ 形成刚度矩阵[K]、质量矩阵[M]、阻尼矩阵[C]

    ♢ 给定初始τ0时刻,位移υ0、速度Ù0、加速度Ü0

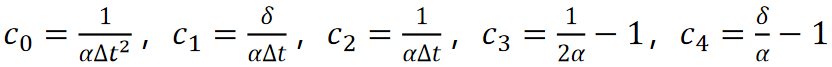
    ♢ 选择时间步长∆t,NewMark参数α, δ,计算积分常数c0~c7

    ♢ 算法要求 ,此时算法无条件稳定

    ♢ 形成有效刚度矩阵[K ̃]=[K]+c0[M]+c1[C]

    ♢ 三角分解[K ̃]=[L][D][L]T

NewMark算法求解
  • 迭代计算(t=0,∆t,2∆t,...)

    ♢ 计算t+∆t时刻有效载荷

    ♢ 计算t+∆t时刻位移

    ♢ 计算t+∆t时刻速度与加速度

  • NewMark法在求解迭代过程,每一迭代步须计算等效刚度矩阵逆矩阵

  • ,算法无条件稳定

♢ 推荐时间步∆t,为结构最小固有周期的1/10~1/20

  • 模态计算阻尼设置-阻尼典型产生因素

    ♢ 粘性阻尼

    ♢ 材料常见阻尼

    ♢ 粘性阻尼可导致系统能量耗损

    ♢ 影响因素:结构形状、流体动力粘度、运动速度、振动频率

    ♢ 库伦阻尼或干摩擦阻尼

    ♢ 润滑(无润滑状态)滑动摩擦

    ♢ 与运动方向相反

    ♢ 通过摩擦系数定义

    ♢ 材料阻尼、固体阻尼、滞后阻尼

    ♢ 固体材料变形,材料内部晶格位错或滑移导致

    ♢ 影响因素:位移或应变

    ♢ 数值阻尼

    ♢ 人工定义阻尼,方便计算

  • 模态计算阻尼设置-模态计算阻尼分类

  • α=结构全局质量阻尼:对低频段振动影响较大,对高频段振动影响微小,产生机理属于粘性阻尼

  • αi=材料质量阻尼:同上,定义局部材料阻尼性质

  • β=结构全局刚度阻尼:对低频段振动影响较小,对高频段振动影响较大,产生机理属于粘性阻尼

  • βj=材料刚度阻尼:同上,定义局部材料阻尼性质

  • Ck=单元阻尼:单元集中阻尼,包括弹簧单元阻尼、运动副阻尼、轴承阻尼

  • Cl=陀螺阻尼:主要用于计算转子系统临界转速

最新培训课程
热门资讯
首页        |        关于正脉        |        产品与服务        |        工程案例        |        新闻中心        |        联系我们        |        视频课程
北京公司:北京市房山区天星街1号院14号西楼5层 西安公司:西安市灞桥区现代纺织产业园区纺园二路333号综合楼1-2楼 成都公司:中国(四川)自由贸易试验区成都高新区天府三街219号2栋8楼 电话:010-81387990 邮箱:bjxu@foxmail.com
微信公众号
抖音号
声明:本站部分内容来源于互联网,仅用于知识分享交流,同时尽力标明了作者或出处。如有内容涉及版权问题的,请与本站联系,本站经过核实确认后会予以删除处理!
B站:正脉科工
您的姓名
*
您的手机号
*
立即提交
立即咨询,获取CAE工程应用专业解决方案