新闻详情

动力学仿真之模态分析

93
发表时间:2025-04-24 08:42作者:正脉科工

1. 模态分析典型工程应用

  • 应用目的

    ▌获取结构固有频率、振型、参与系数等数据

    ▌设计、优化产品动力学特性

    ▌避免结构共振或在某指定频率下利用共振

    ▌掌握产品固有振动特性

图1 结构共振与模态分析应用

2. 模态分析基础理论

模态分析基本假设


  • 结构线性假设

    ▌忽略几何大变形(无几何非线性)

    ▌仅考虑线弹性材料(无材料非线性)

    ▌忽略接触变化(无接触非线性)

    ▌具有恒定质量矩阵与整体刚度矩阵(不随时间空间改变)

  • 结构无外载荷,处于自由激励状态

    ▌仅需给定合理几何约束条件

    ▌几何约束影响结构整体刚度矩阵

图2 WorkBench模态模块

图3 ANSYS经典环境模态模块

  • 无阻尼模态基础理论

    ▌无阻尼线性结构自由振动控制方程

    ▌[M]{u ̈}+[K]{u}={0} (2.1)

    ▌[M]=总体质量矩阵

    ▌[K]=总体刚度矩阵

    ▌{u}=节点位移列阵

    ▌{u ̈}=节点加速度列阵

  • 假设结构响应为简谐运动

    ▌{u}={ϕ}sin(ωt+θ)

    ▌{u ̈}=−ω^2{ϕ}sin(ωt+θ)

  • 将位移与加速度方程代入控制方程

  • ([K]−ω^2[M]){ϕ}={0} (2.2)

    ▌方程(2.2)中,若

    ▌{ϕ}=0,则结构无运动

    ▌{ϕ}≠0,则对应特征值问题控制方程为

  • det([K]−ω^2[M])={0} (2.3)

    ▌特征方程(2.3),可得到n个特征值与特征向量解

    ▌特征值={ω_1^2, ω_2^2, ...,ω_n^2}

    ▌特征向量={{ϕ}_1, {ϕ}_2, ...,{ϕ}_n}

    ▌其中,n=模态阶数

  • 无阻尼模态基础理论

    ▌固有频率与固有圆频率

    ▌固有频率(natural frequency):又称自然频率,结构响应随时间谐波变化,振动频率与初始条件无关,仅与系统固有特性相关,该振动频率称为固有频率(Hz)

    ▌固有圆频率(natural circular frequency):又称角频率,2π秒内结构振动次数(Hz/2π)

    ▌固有频率f与固有圆频率ω转换关系:f=ω/2π

  • 振型

    ▌振型表示结构振动形状

    ▌值没有绝对意义

    ▌模态叠加时需要归一化处理

图4 周边固支圆板第4阶模态振型图

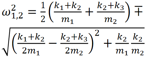
  • 无阻尼二自由度弹簧振子系统模态分析

  • 模态频率理论解

  • 仿真数值解

图5   二维弹簧振子系统1、2阶模态振型动图

  • 含阻尼模态理论基础

    ▌含阻尼线性结构自由振动控制方程

    ▌[C]=系统阻尼

    ▌设(2.4)形式解为 ,代入(2.4)

    ▌(2.5)存在非0解的充要条件为

    ▌可得一对共轭解

  • 共轭解说明

    ▌σi=复数特征值实部,表示系统稳定性

    ▌σi<1,表示系统稳定

    ▌σi>1,表示系统发散

    ▌ωi=复数特征值虚部,表示系统固有频率

  • 含阻尼复模态计算结果说明

    ① Damped Frequency:固有频率(虚部)

    ② Stability:稳定性(实部)

    ③ Modal Damping Ratio:模态阻尼比

  • ④ Logarithmic Decrement:对数衰减率

    表示任意连续响应峰值之比值

  • 模态计算阻尼设置-阻尼典型产生因素

  • 粘性阻尼

    ▌材料常见阻尼

    ▌粘性阻尼可导致系统能量耗损

    ▌影响因素:结构形状、流体动力粘度、运动速度、振动频率

  • 库伦阻尼或干摩擦阻尼

    ▌润滑(无润滑状态)滑动摩擦

    ▌与运动方向相反

    ▌通过摩擦系数定义

  • 材料阻尼、固体阻尼、滞后阻尼

    ▌固体材料变形,材料内部晶格位错或滑移导致

    ▌影响因素:位移或应变

  • 数值阻尼

    ▌人工定义阻尼,方便计算

  • 模态计算阻尼设置-模态计算阻尼分类

  • ▌α=结构全局质量阻尼:对低频段振动影响较大,对高频段振动影响微小,产生机理属于粘性阻尼

    ▌αi=材料质量阻尼:同上,定义局部材料阻尼性质

    ▌β=结构全局刚度阻尼:对低频段振动影响较小,对高频段振动影响较大,产生机理属于粘性阻尼

    ▌βj=材料刚度阻尼:同上,定义局部材料阻尼性质

    ▌Ck=单元阻尼:单元集中阻尼,包括弹簧单元阻尼、运动副阻尼、轴承阻尼

    ▌Cl=陀螺阻尼:主要用于计算转子系统临界转速

  • 全局Rayleigh阻尼

  • 全局质量阻尼

    ▌计算模型中,如果包含大质量质点,则α会引起极大计算误差

  • 全局刚度阻尼

    ▌计算模型为非线性分析时,刚度矩阵随时间变化,β可能会引起较大计算误差

  • Rayleigh阻尼

    ▌α质量阻尼与β刚度阻尼共同构成Rayleigh阻尼

    ▌Rayleigh阻尼中,阻尼比定义为

    ▌Ex. 模型关注最小频率f1=10 Hz,最大频率f2=100 Hz

    ▌阻尼比ζ=0.05

图6 WorkBench全局Rayleigh阻尼设置

图7 WorkBench全局Damping VS. Frequency阻尼设置

  • 材料Rayleigh阻尼

    ▌适用性

    ▌适用于不同材料装配体,对不同材料设置材料Rayleigh阻尼

  • 设置方法(如图8、9所示)

图8 WorkBench材料Rayleigh阻尼设置

图9 WorkBench材料Rayleigh阻尼APDL设置

  • 单元阻尼

    ▌Joints运动副单元

    ▌运动副类型:Revolute/Cylindrical(如图9所示)

  • Spring弹簧单元(如图11所示)

  • Bearing轴承单元(如图12所示)

图10 WorkBench运动副单元阻尼设置

图11 WorkBench弹簧单元阻尼设置

图12. WorkBench轴承单元阻尼设置

  • 陀螺阻尼

  • 转子动力学控制方程[M]{u ̈}+([G]+[C]){u ̇}+([K]−[Kc]){u}={F} (2.7)

    ▌[G]=由于结构旋转而产生的“阻尼”矩阵,在旋转坐标系中通常称为科里奥利矩阵,在静止坐标系中称为陀螺矩阵

    ▌[Kc]=由于结构旋转而产生的自旋软化矩阵,它改变了旋转坐标系中结构的表观刚度

  • CORIOLIS APDL操作

    ▌CORIOLIS, Option,,,RefFrame,RotDamp,RotMass

    ▌Option=1,激活科里奥效应;=0,关闭科里奥效应

    ▌RefFrame=1,激活静态参考系;=0,关闭静态参考系

    ▌RotDamp=1,激活旋转阻尼效应;=0,关闭旋转阻尼效应

    ▌RotMass=1,激活打印转子系统总质量;=0关闭该功能

图13   WorkBench陀螺阻尼设置

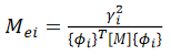
  • 参与系数与有效质量

    ▌参与系数(ANSYS Help Theory Reference 15.7.5)

    ▌PARTIC. FACTOR表示某阶振型参数与振动的权重系数

    ▌RATIO参数系数比率,表示各阶振型参与系数与一阶振型参与系数之比的绝对值

    ▌一般情况,振型越高,振型参与系数越小,因此实际工程中往往忽略高阶振型

    ▌模态基础激励参与系数

    ▌γi=第i阶参与系数

    ▌ϕi=第i阶振型矢量

    ▌[M]=质量矩阵

    ▌{D}=激励方向矢量

图14 模态振型参与系数结果

▌有效质量(ANSYS Help Theory Reference 15.7.7)

▌EFFECTIVE MASS有效质量

▌若质量矩阵归一化,i}T[M]{ϕi}=1

▌Ratio EFF. Mass to Total Mass有效质量与总质量比

▌理想情况,各方向振型有效质量之和等于结构总质量

图15 模态振型有效质量结果

  • 无阻尼模态算法

  • Direct直接算法

    ▌即Block Lanczos法

    ▌求解速度快,采用稀疏矩阵求解器

    ▌适用于大型模型多阶模态

    ▌网格适应性好

    ▌适用于实体、壳体或实体壳体混合单元

  • Iterative迭代算法

    ▌即PCG Lanczon法,将PCG迭代求解与Lanczos算法结合

    ▌适用于大型模型(20万节点以上),但模态提取较少的情况

    ▌网格质量要求高

图16 WorkBench模态无阻尼Direct算法

图17 WorkBench模态无阻尼Iterative算法

  • Unsymmetric非对称算法

    ▌适用于质量矩阵与刚度矩阵为非对称的情况(如热固耦合、流固耦合等)

    ▌可得到复特征值,实部代表稳定性,虚部代表固有频率

    ▌该算法不进行Sturm排序,可能会丢失高阶模态

  • SuperNode超节点算法

    ▌该算法须输入提取模态频率范围

    ▌适用于大型对称矩阵模型,一次性求解模态超过1000阶

    ▌建议频率范围上限不超过1.0e5 Hz

    ▌当提取模态阶数≥200,该算法比直接法与迭代法块

图18   WorkBench模态无阻尼Unsymmetric算法

图19 WorkBench模态无阻尼SuperNode算法

  • Subspace子空间算法

    ▌适用于计算中型~大型模型,且提取模态书较少

    ▌需要内存较小

    ▌实体、壳体单元要求较好的单元形状

    ▌计算过程,需要对任何单元形状警告予以注意

    ▌模型中包含刚体振型,可能会出现收敛性问题

    ▌不推荐具有约束方程时,采用该算法

图20 WorkBench模态无阻尼SubSpace算法

  • 含阻尼模态算法

  • Full Damped完全阻尼算法

    ▌适用于阻尼器或阻尼矩阵无法忽略的情况

    ▌采用结构整体完全质量矩阵、刚度矩阵、阻尼矩阵

    ▌采用Lanczos算法求复特征值于复特征向量

    ▌不进行Sturm排序,可能会丢失高频模态

  • Reduced Damped缩减阻尼算法

    ▌该算法采用无阻尼系统少量特征向量,通过模态变换近似表示前几阶复模态特征值

    ▌适用于大型低阻尼系统模态计算

    ▌采用Sturm排序,不会丢失高频模态

图21 WorkBench模态含阻尼Full Damped算法

图22 WorkBench模态含阻尼Reduced Damped算法

  • 模态计算接触设置

    ▌模态计算中可定义接触,但因为计算为线性分析,因此模态计算中接触定义于非线性分析中接触定义不同,具体设置如下

3. 模态计算约束条件

  • 约束条件(1)

  • Rotational Velocity旋转速度

    ▌须激活陀螺效应

    ▌主要用于转子系统临界转速分析

    ▌普通模态分析,不适用该条件

  • Thermal Condition温度边界条件

    ▌热条件载荷

    ▌属于体载荷

    ▌适用于热预应力模态计算

图23 WorkBench旋转速度与温度条件设置

  • 约束条件(2)

  • Fixd Support固定位移约束

    ▌固定支撑边界条件

    ▌属于强约束,除约束节点位移,还约束节点温度、压力等多物理场变量,对于耦合问题慎用

  • Dispalcement位移约束

    ▌可约束x、y、z三个方向位移

    ▌仅约束节点位移

    ▌属于弱约束,适用于多物理场耦合分析

图24 WorkBench固定支撑与位移约束设置

  • 约束条件(3)

  • Remote Displacement远端位移

    ▌可配合远端点,实现节点位移约束

    ▌可约束节点六个位移自由度,包括三个平动与三个转动

    ▌力学行为包括刚体、变形体、耦合与梁

  • Frictionless Support无摩擦支撑

    ▌接触面法向、切向自由,约束其余节点自由度

    ▌仅能作用于面

    ▌经常被用作对称面约束

图25 WorkBench远端位移与无摩擦支撑设置

  • 约束条件(4)

  • Compression Only Support仅受压支撑

    ▌为非线性支撑

    ▌模态分析中,退化为无摩擦支撑条件

    ▌被约束面切向、法向自由

    ▌约束法线方向可由程序或手动定义

  • Cylinderical Support圆柱支撑

    ▌该约束条件仅适用于圆形面

    ▌分别约束径向、轴向与切向位移

图26 WorkBench仅受压支撑与圆柱支撑设置

  • 约束条件(4)

  • Elastic Support弹性支撑

    ▌仅为面支撑

    ▌可设置基础接触刚度

    ▌接触法线方向,程序控制

图27 WorkBench弹性支撑设置

图28 WorkBench模态约束条件分类

4. 循环对称模态分析

  • 循环对称模态(1)

  • 基本术语定义

    ▌以某个轴为中心,能够以结构某一部分重复多次,生成结构整体,为循环对称结构

    ▌可通过对循环体建模计算整体结构模态

    ▌循环体中,用以建模部分称为基本区

    ▌如图27,正确的扇形区,能够在全局柱坐标系,或自定义柱坐标系中,重复N次,生成整体模型

    ▌基本扇区的圆心角,称为扇区角

图29 循环对称扇形区模型

  • 循环对称模态(2)

    ▌循环对称局部坐标系定义

    ▌局部坐标应选择柱坐标

  • 循环对称扇形区低边与高边

    ▌低边:扇形区起始边(面),蓝色

    ▌高边:扇形区终止边(面),红色

图30 循环对称扇形区模型对称设置

  • 循环对称模态(3)

  • 循环对称模型网格划分

    ▌Model->Mesh->Insert->Match Control

    ▌低边与高边节点与单元匹配时,计算结果更加准确

    ▌推荐适用Match Control网格匹配控制

图31 循环对称扇形区网格匹配设置

  • 循环对称模态(4)

  • 节径

    ▌模态振型中位移等于0的线

    ▌一条节径通常在周向引起一个振动波,两条节径通常在周向引起两个振动波,以此类推

  • 节径作用

    ▌循环对称结构,由于只模拟一个基本扇面,须通过节径数定义提取模态频率范围

    ▌结构的第阶振型通常是低节径数的第阶振型

  • Harmonic Index谐波指数

    ▌为包含0的整数

    ▌反应扇形区节径数

图32 循环对称扇形区谐波指数与固有频率

  • 循环对称模态(5)

  • 节径 VS. 振型

c.1阶模态2节径

图33 循环对称扇形区1阶模态不同谐波指数振型图

5. 预应力模态分析

  • 预应力模态工程应用

  • 考虑非线性因素模态分析

    ▌几何大变形

    ▌材料非线性

    ▌摩擦、接触非线性

  • 预应力(线性摄动)模态分析

    ▌第一步,进行静力学分析,包含各种非线性因素

    ▌第二步,进行模态分析,将静力学分析条件固化,将静力学计算某一步结果,作为模态计算刚度矩阵,以预应力形式读入模态求解模块

    ▌第三步,进行模态分析

图34 WorkBench预应力分析流程图

  • 预应力模态基础理论

  • 非线性静力学方程[KNL]{u}={Fa} (5.1)

  • [KNL]=非线性刚度矩阵

  • {u}=结点位移

  • {Fa}=载荷矢量

  • 通过Newtown-Raphson迭代求解(5.1)

  •  (5.2)

  • [KTNL i]=雅可比矩阵,即切向矩阵,对于非线性问题,该矩阵为{u}的函数

  • i=当前平衡迭代步

  • {Finr}=单元内部载荷存储向量

  • 总体切向刚度矩阵

  • =材料矩阵,对于非线性材料模型,只能考虑材料线性部分性质

  • =考虑摩擦接触贡献刚度

  • =考虑外部随动载荷贡献刚度

  • =考虑大变形贡献刚度

  • 湿模态定义

    ▌湿模态:模态分析时需考虑液体对结构影响

    ▌干模态:默认真空(或空气)环境,结构模态分析

    ▌湿模态计算需采用声固耦合分析

    ▌声固耦合区,程序将计算节点声压与节点位移耦合

    ▌湿模态阻尼与算法

    ▌如图36所示

图35.WorkBench湿模态分析流模块

图36 WorkBench湿模态分析阻尼-算法设置

最新培训课程
热门资讯
首页        |        关于正脉        |        产品与服务        |        工程案例        |        新闻中心        |        联系我们        |        视频课程
北京公司:北京市房山区天星街1号院14号西楼5层 西安公司:西安市灞桥区现代纺织产业园区纺园二路333号综合楼1-2楼 成都公司:中国(四川)自由贸易试验区成都高新区天府三街219号2栋8楼 电话:010-81387990 邮箱:bjxu@foxmail.com
微信公众号
抖音号
声明:本站部分内容来源于互联网,仅用于知识分享交流,同时尽力标明了作者或出处。如有内容涉及版权问题的,请与本站联系,本站经过核实确认后会予以删除处理!
B站:正脉科工
您的姓名
*
您的手机号
*
立即提交
立即咨询,获取CAE工程应用专业解决方案