新闻详情

转子动力学 | 模态分析

861
发表时间:2024-06-28 11:17作者:正脉科工来源:北京正脉科工科技有限公司

一、描述和目的

模态分析是一种用于确定结构振动特性的技术:

• 固有频率

- 结构在什么频率下会自然地振动

• 模态形状

- 结构在每种频率下会以什么形状振动

• 模态参与系数

-每种模态参与给定方向的质量

模态分析是所有动力学分析类型中最基本的分析。

二、模态分析的好处

• 允许设计避免共振或以指定频率振动(例如扬声器箱)。

• 使工程师了解设计如何响应不同类型的动态负载。

• 帮助计算其他动态分析的解决方案控制(时间步骤等)。

建议:由于结构的振动特性决定了它如何响应任何类型的动态载荷,因此通常建议在尝试任何其他动态分析之前先进行模态分析。

转子动力学假设:

• 线性转子动力学

- 表示响应频率与激励频率相同

- 对两个组合激励的响应是两个单独应用的总和

- 这是转子从平衡位置小位移的合理假设(除非转子轴承系统出现灾难性故障)

• 稳态响应

- 所有瞬态都结束了

三、结构振动

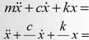
单自由度系统的自由振动:

- “自由”意味着没有强迫项

- EOM用于平行连接弹簧和阻尼器的刚性质量块

图片

- 一个自由度系统的EOM的一般形式:

图片

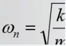
- 固有频率:

图片

图片

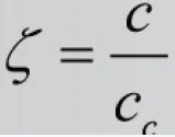
- 阻尼比ζ可通过以下方式获得:

图片

假设为阻尼EOM形式的试算解:

图片

特征方程可写为:

图片

这个特征方程的根:

图片

基于ζ值

图片

复平面中不同情况的根位置

图片

• 如果系统中的阻尼量变大,响应将不再振荡。

• 临界阻尼定义为振荡和非振荡行为之间的阈值。

• 阻尼比是系统阻尼与临界阻尼之比,由下式得出:

图片

图片

四、杰弗科特转子(Jeffcott Rotor )


- 它是一种旋转机械,相当于单弹簧质量阻尼系统,在无质量弹性轴上具有集中质量

- 它是一个单自由度系统,通常用于引入转子动力学特性

- 本章将使用下面显示的Jeffcott转子来演示转子动力学的一些概念

图片

无质量弹性轴轴长米,轴直径= 0.06米

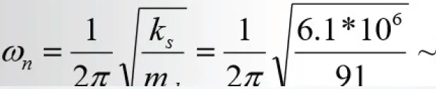
盘直径= 0.5m,盘厚= 0.06m,盘质量m = 91kg

• 我们将讨论两种简单的Jeffcott转子:

• Jeffcott Rotor 1

-转子安装在非常刚的轴承上,形成“轴模式”

-- 与轴承和基础支撑相比,转子轴非常柔

-- 也称为简单的“柔性转子”

• Jeffcott Rotor 2

-转子安装在非常柔的轴承上,形成“轴承模式”

-- 与轴承和基础支撑相比,转子轴更加刚

-- 也称为简单的“刚性转子”

五、非旋转Jeffcott转子

• 找到非旋转Jeffcott转子的前三种模态形状和相应的频率

- 假设转子没有旋转

- 平面运动的结果

- 轴端边界条件

• 情况1- 非常刚的轴承(考虑固定- 固定)

• 案例2- 软轴承,刚度为1* 10 ^ 6 N / m

图片

案例1:考虑非常刚的轴承支撑(或简单支撑的轴端):

惯性矩:

图片

轴刚度:

图片

自然频率:

图片

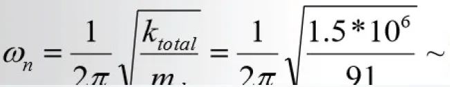
案例2:考虑软轴承支撑:

总刚度

图片

自然频率

图片

注意:添加轴承时,系统总刚度会降低,软轴承的第一固有频率会降低

图片

注意:轴承刚度与轴刚度比对模态形状有很大影响•由于没有施加旋转,因此在这种情况下没有陀螺运动

六、陀螺力偶

• 对于绕轴旋转的结构,如果围绕垂直于Z轴的轴旋转(进动运动)应用于结构:

–反作用力矩称为陀螺力矩,其Z轴垂直于旋转轴和进动轴。

–由此产生的陀螺矩阵[g]对垂直于旋转轴Z的平面上的自由度进行了配对。–由此产生的陀螺矩阵[g]将是斜对称的。

图片

• 考虑使用恒定角速度Ω围绕Z轴旋转的圆盘

- 允许质心在X,Y和Z平移

- 转子也可以在X和Y方向上旋转少量Ѳ和ψ

七、简单转子的运动方程(EOM)

EOM用于柔性支撑的旋转转子,在x和y方向具有不同的刚度:

图片

其中:简易转子模型的自由度、对称质量矩阵、斜对称陀螺矩阵、对称刚度矩阵

图片

八、转子旋转运动


旋转:当旋转结构以其共振频率振动时,自旋轴上的点发生轨道运动,称为旋转。

后旋(BW):当转子在旋转轨道上以与转速Ω相反的方向旋转时

前旋(FW):当转子在旋转轨道上以与转速Ω相同的方向旋转时

图片

轴中心椭圆旋转轨迹(本例显示了后旋(BW) ,由于轴承支承是各向异性的,因此会导致椭圆振荡)

九、坎贝尔图

• 坎贝尔图仅在模态分析结果中有效

• 由于陀螺效应,旋转分量的固有频率随旋转速度而变化

• 坎贝尔图用于绘制旋转结构部件在不同旋转速度下的变化动态特性

图片


十、临界速度


• 临界速度是与结构的共振频率(或频率)对应的转速

• 当固有频率等于激励频率时,出现临界速度

• 激励可能来自与旋转速度同步的不平衡激励或来自任何异步激励

图片

激励线

旋转频率=斜率*旋转速度

阻尼模态求解器

图片

打开阻尼

图片

对阻尼模态的后处理支持

输出表是工程项(阻尼频率,稳定性等),而不是数学项(实/虚特征值)

图片

图片

十一、重复频率

• 在Workbench求解结果中,仅列出虚部的正值项以避免混淆

• 在solution information 中,所有8个虚模态频率都以旋转速度列出,该旋转速度是QR阻尼求解器的输出

图片

陀螺矩阵- 无能量耗散

• 在公式中列出了具有阻尼项的陀螺矩阵,因为它取决于旋转速度

• 但它不会导致任何能量耗散

• 因此,除非存在一些阻尼(如轴承阻尼),否则固有频率的实部始终为零

图片

在阻尼模态分析动画期间,打开/关闭时间衰减以进行切换控制循环次数以显示衰变的影响

图片

十二、Jeffcott转子轴承添加阻尼

• 为轴承单元增加阻尼(800 Ns / m)

• 会导致能量耗散

• 提供非零实部

图片

图片

图片

十三、轨道图


在垂直于自旋轴的平面中,节点的轨道是椭圆形它由三个特征定义:局部坐标系(x,y,z)中的半轴A,B和相位ψ,其中x是旋转轴角度φ是节点相对于主轴A的初始位置。

轨道图只可用于梁模型

图片

打印轨道:PRORB

动画与轨道图

图片

悬臂转子型号4000rpm ,前两种模态

SET,4,3

/show,png

/view,,-10,-2,8

/rgb,index,100,100,100,0 !white

background

/rgb,index,0,0,0,15

PLORB

图片

注意:这是一个梁和点质量悬臂转子模型,点质量不可见

案例

案例研究了悬臂转子的行为。旨在说明如何创建坎贝尔图并理解前旋和后旋。

问题陈述:

• 该模型由一个代表转子和轴的简单装配文件组成。

• 目标是估计0到4000 rpm之间的前六个固有频率和模态形状,创建Campbell图,观察由于模态对的分离而看到的陀螺效应(前旋和后旋)

图片

轴承建模(ROMAC)

图片

ROMAC Tilting Pad Bearing程序生成的ASCII文件-ANSYS轴承单元COMBI214

十四、轴承建模

• COMBI214单元用于模拟轴承

• COMBI214在二维应用中具有纵向和交叉耦合功能

• 它是一个拉伸压缩单元,每个节点最多有两个自由度:

- 任意两个节点方向(x,y或z)的平动

• 轴承宏IMPORTBEARING1.MAC用于从ASCII文件导入与转速相关的轴承特性

ANSYS轴承单元COMBI214

图片

轴承支撑系数:

图片

• ASCII文件由THPAD创建(ROMAC的轴承分析软件)

• 轴承宏将通过Command Snippet在分析中输入

• 轴承特性放入APDL表参数中

• 然后可以在COMBI214轴承元件实际中使用这些表常数定义。

图片

十五、临界速度图

• 临界速度图可用于显示转子临界转速相对于轴承刚度的演变

• 水平刻度表示支撑刚度,垂直刻度表示转子速度,rpm

• 显示轴承刚度对临界速度的影响

• 绘制曲线,计算轴承平均恒定刚度的不同值的前几个横向临界速度

图片

图片

需要将以下输入作为Workbench Mechanical中的宏的参数提供

参数:

ARG1 临界速度数

ARG2 每转激励次数

= 0默认为1.0(同步激励)

轴承刚度

ARG3 最低值

ARG4 最高值

ARG5 步数= 0 默认为10

旋转速度方向(归一化为单位)

ARG6 X分量

ARG7 Y分量

ARG8 Z分量

• 宏CRITSPEEDMAP的特征

- 每步最多修改COMBI214轴承单元的2个实常数

- 仅将实常数K11和K22设置为ARG3至ARG5指定的非零值(K11 = K22)

- 然后通过求解特定的特征值问题直接获得临界速度

- OMEGA ARG6 ARG8命令将用于根据到定义整个结构的旋转速度

- 模型无阻尼

- 确保除了轴承阻尼之外没有定义阻尼,这将自动抑制

- 临界速度没有排序算法

- 它们的打印/显示顺序与计算顺序相同

- 使用Log-Log标度

- 轴承刚度增量在对数刻度上是恒定的

十六、稳定性

旋转结构中的自激振动导致振动幅度随时间增加,如下所示

如果不加以控制,这种不稳定性可能导致设备损坏。

图片

最常见的不稳定因素是:

i. 轴承特性(特别是当存在非对称交叉项时)

II . 内部旋转阻尼(材料阻尼)

III . 旋转和静止部件之间的接触

最新培训课程
热门资讯
首页        |        关于正脉        |        产品与服务        |        工程案例        |        新闻中心        |        联系我们        |        视频课程
北京公司:北京市房山区天星街1号院14号西楼5层 西安公司:西安市未央区太华北路大明宫万达3号甲写16层 成都公司:中国(四川)自由贸易试验区成都高新区天府三街219号2栋8楼 电话:010-81387990 邮箱:bjxu@foxmail.com
微信公众号
抖音号
声明:本站部分内容来源于互联网,仅用于知识分享交流,同时尽力标明了作者或出处。如有内容涉及版权问题的,请与本站联系,本站经过核实确认后会予以删除处理!
您的姓名
*
您的手机号
*
立即提交
立即咨询,获取CAE工程应用专业解决方案