新闻详情

抗震计算 | 地震响应的瞬态动力学分析

974
发表时间:2024-05-27 15:28作者:正脉科工来源:北京正脉科工科技有限公司

图片

1.瞬态动力学简介


什么是瞬态动力分析?

它是确定随时间变化载荷(例如爆炸)作用下结构响应的技术;

输入数据:

-作为时间函数的载荷 输出数据:

-随时间变化的位移和其它的导出量,如:应力和应变。

瞬态动力分析可以应用在以下设计中:

承受各种冲击载荷的结构,如:汽车中的门和缓冲器、建筑框架以及悬挂系统等;

承受各种随时间变化载荷的结构,如:桥梁、地面移动装置以及其它机器部件;

承受撞击和颠簸的家庭和办公设备,如:移动电话、笔记本电脑和真空吸尘器等。

2.瞬态动力学理论

非线性瞬态动力学的控制方程:

图片

图片

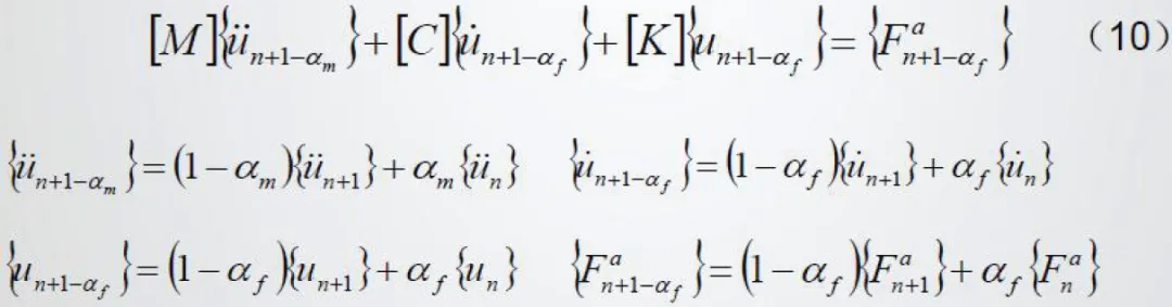
[M]:结构总体质量矩阵;[C]:结构总体阻尼矩阵;

[K]:结构总体刚度矩阵;{F}:结构外载荷矢量矩阵

{ü}:结构节点加速度{图片}:结构节点速度

{u}:结构节点位移矢量;(t):载荷的作用时间

图片

2.1 完全法求解理论

图片

在任何给定的时间t,这些方程都会转换为一系列的静态平衡方程,并且把以下的载荷考虑进去:

-惯性力;

-阻尼力;

为了求解这些方程,ANSYS提供了两种方法:

-纽马克时间积分算法(Newmark);

-改进算法HHT算法;

时间积分步:在两个邻近的时间点的增量:

ANSYS中使用隐式方法Newmark和HHT来求解瞬态问题。Newmark方法使用有限差分法,在一个时间间隔内有

图片

我们主要的目的就是计算下一时刻的位移图片,则在图片时刻的控制方程(1)为

图片

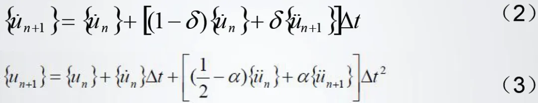
把(2)和(3)式,带入到(4)

图片

图片

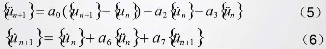
由(4)、(5)和(6)得

图片

一旦求出图片,速度和加速度可以利用(5)和(6)求得。对于初始施加于节点的速度或加速度可以利用位移约束并利用(3)计算得到根据Zienkiewicz的理论,利用(2)和(3)式得到的Newmark求解方法的无条件稳定必须满足:

图片

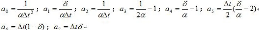
Newmark参数根据下式输入:

图片

其中:γ阻尼衰减系数,默认值为0.1

γ=0时,即图片时Newmark方法为平均加速度法。由于平均加速速法在位移幅值误差方面不产生任何数值阻尼。如果其他方面也没有阻尼,缺乏数值阻尼在高频结构计算中会产生不可接受的数值噪声。我们期望有一定水平的数值阻尼并且通过设置γ=0来实现。

程序默认使用的算法是HHT算法,因此如果需要修改时间积分算法,则需要插入以下命令流流

TRNOPT,,,,,,NMK;

我们期望在高频模型中使用可控的数值阻尼计算方法,因为使用有限元计算离散空间域的结果,在高频率的模式不太准确。然而,这种算法必须具备以下特征:在高频下引进数值阻尼不应该降低求解精度,在低频下不能产生过多的数值阻尼。在完全瞬态分析中,HHT时间积分方法可以满足以上的要求。

基本的HHT的方法由下式给出:

图片

图片可以直接输入。但是对于二阶系统的无条件稳定且时间积分的准确性不降低四个参数应该满足一下关系:

图片

HHT法可以通过简单指定GAMMA值或指定ALPHAF与 ALPHAM可以得到其他的方法

图片

不同时间积分算法的转换方法,需要插入以下命令流

TINTP, GAMMA, ALPHA, DELTA, THETA, OSLM, TOL, --, --,

AVSMOOTH, ALPHAF, ALPHAM

在转换过程中,使用以上五个参数,来满足各自的算法即可

图片

图片

2.2 模态叠加法求解理论

对于模态叠加法,使用模态坐标 yi 的线性组合表示节点位移{u}

图片

其中:图片第i阶模态振型;n-提取的模态数量。从上式可以解释使用模态叠加法叠加法进行瞬态动力学求解必须进行模态分析的原因。

把(13)代入到(1),得

图片

在(14)式中左乘一个典型的模态振型图片

图片

自然模态的正交条件:

图片

将正交条件应用到(15)式中

图片

图片的系数如下:

使用质量矩阵进行归一化,即得图片的系数


图片

图片的系数

图片

图片第j阶模态的临界阻尼百分比;图片第j阶模态固有频率。

图片的系数

图片

为了方便书写,设置

图片

把(19)到(22)代入到(18),得

图片

因为 j 代表了任意模态,(23)表示了n 个未知数 图片解耦方程。

解耦方程组的优点是,该算法最费时的计算已经在模态计算中完成。因此适合大时间瞬态分析效率较高。

完全法:

优点:

-设置相对简单;

-使用完整的刚度矩阵,质量矩阵和阻尼矩阵;

-允许使用各种类型的非线性:材料,几何和接触;

-在一个坐标下计算位移和应力;

-支持大多数的载荷;

缺点:

-计算时间较长,计算花费高,即占用较多的内存。

模态叠加法:

优点:

-计算速度快,花费少;

-可以把阻尼考虑为频率的函数;

缺点:

-只能使用固定时间步,即不支持自动时间步。

-基本上不能引入非线性问题;

-不接受非0的位移约束,即计算的初始条件只能是速度和位移都为0。

3.积分时间步长选取准则

积分时间步长(亦称为ITS或△t )是时间积分法中的一个重要概念

--ITS=两个时刻点间的时间增量△t;

--积分时间步长决定求解的精确度,因而其数值应仔细选取。

--对于缩减矩阵法与模态叠加法瞬态分析ANSYS 只允许ITS常值.

--完全法瞬态分析, ANSYS 可以自动调整时间步大小在用户指定的范围内ITS 小到足够获取下列动力学现象:

-响应频率

-载荷突变

-接触频率

-波传播效应

• 响应频率

– 不同类型载荷激发系统不同的响应频率;

– ITS小到足够获取所关心的最高响应频率(最低响应周期);

– 每个循环中有20个时刻点应是足够的,即:△t = 1/20f

式中 ,f 是所关心的最高响应频率。

图片

图片

• 载荷突变

– ITS 小到足够获取载荷突变现象;

– 时间步必须取的足够小,能实现跟随载荷函数。如图所示,响应总是倾向滞后于所施加的载荷,特别是对于阶跃载荷。要跟随阶跃载荷,ITS也许要小到与1/(170 f)相近

图片

图片

图片

• 接触频率

– 当两个物体发生接触,间隙或接触表面通常用刚度(间隙刚度)来描述;

– ITS小到足够获取间隙“弹簧”频率;

– 建议每个循环三十个点,才足以获取两物体间的动量传递。更小的ITS 会造成能量损失,并且冲击可能不是完全弹性的。

图片

fc=接触频率

k=间隙刚度

m=有效质量

• 波传播

– 由冲击引起。在细长结构中更为显著(如下落时以一端着地的细棒)

– 需要很小的ITS ,并且在波传播方向需要精细的网格

– 显式积分法(在ANSYS-LS/DYNA采用)可能对此更为适用

图片

图片

4.完全法的基本设置

图片

非线性求解可按下列三个层次组织:

载荷步

载荷步是顶层,求解选项,载荷与边界条件都施加于某个载荷步内。

子步

子步是载荷步中的载荷增量。子步用于逐步施加载荷。

平衡迭代步

平衡迭代步是ANSYS为得到给定子步(载荷增量)的收敛解而采用的方法。

• 在每一增量载荷步中完成平衡迭代步。

• 载荷步一中有两个子步,载荷步二中有三个子步。

• 每个载荷步及子步都与“ 时间”相关联。

图片

5.完全法的初始条件

初始条件,即t=0时刻的结构约束条件也就是初始位移,初始速度和初始加速

度。

程序默认这三者初始状态都为0.

程序支持两种初始条件的施加方法:

1采用程序中的Initial Condtions, 这个选项可以施加不同结构的初始平动速度,但是不能施加初始转动速度;2采用载荷步方法施加,该方法可 以设置多种初始条件。

图片

一般采用两个载荷步来施加初始条件:

(1)初始位移=0,初始速度不为0在第一个载荷施加位移0.005mm,设置第一个载荷步的计算结束时间为0.001s,并且关闭时间积分,则初始速度为等于0.005mm/0.001s=5mm/s;然后在第二个载荷步设置必须打开时间积分选项,然后正常设置就可以

图片

图片

(2)初始位移不为0,初始速度不为0

已知初始速度为0.5mm/s,初始位移为0.1mm,则第一个时间步的结束时间为0.1/0.5=0.2s

图片

图片

(3)初始位移不为0,初始速度为0

已知初始位移为0.1mm,第一个载荷步计算结束的时间为0.001s.

图片

图片

6.完全法的支持的载荷和支撑条件

支持所有的惯性和结构载荷和所有的结构支撑条件;

运动副载荷可以作为瞬态动力学计算的驱动力;

各种载荷的幅值类型:

-常数;表格(随时间变化);函数

图片

图片

通过运动副载荷可以为结构添加驱动力

-运动副可以应用于柔性体和刚体;

-运动副载荷使用绝对的自由度;

-对于平动自由度支持的载荷位移;速度;加速度和力。

-对于转动自由度支持的载荷转动位移,角速度,角加速度和力矩。

图片

图片

7.模态叠加法(振型叠加法)

图片

图片

时间步设置:

-时间步长必须设置为恒定值;

-自动时间步程序会自动关闭;

-定义的子步或时间步作用于施加的所有载荷;

阻尼设置:

-阻尼矩阵不是显示计算的,而是通过阻尼比来考虑的

图片

图片

图片

由于模态叠加法是基于模态计算得到的,因此在计算中如果存在非线性接触:摩擦,粗糙和无摩擦类型,程序都会转换为线性接触:绑定或不分离。

图片

用户可以可以考虑预应力结构的结构动力学计算,基于模态叠加法的预应力结构瞬态动力学计算系统如图所示:

图片

图片

考虑残差矢量

基于模态叠加法的瞬态动力学计算,程序允许使用残差矢量法:

在模态叠加法中,当施加高频的外部激励载荷时,结构的动力学响应是近似计算得到的。

为此,程序提供了残差矢量法来提 高高频载荷激励的求解精度。残差 矢量法使用附加的模态信息矢量来 引入到模态计算中的特征向量中。

该选项默认是关闭的。

8.框架结构动力时程响应计算分析

图片

图片

最新培训课程
热门资讯
首页        |        关于正脉        |        产品与服务        |        工程案例        |        新闻中心        |        联系我们        |        视频课程
北京公司:北京市房山区天星街1号院14号西楼5层 西安公司:西安市灞桥区现代纺织产业园区纺园二路333号综合楼1-2楼 成都公司:中国(四川)自由贸易试验区成都高新区天府三街219号2栋8楼 电话:010-81387990 邮箱:bjxu@foxmail.com
微信公众号
抖音号
声明:本站部分内容来源于互联网,仅用于知识分享交流,同时尽力标明了作者或出处。如有内容涉及版权问题的,请与本站联系,本站经过核实确认后会予以删除处理!
B站:正脉科工
您的姓名
*
您的手机号
*
立即提交
立即咨询,获取CAE工程应用专业解决方案